Ap Stats Chapter 12 Practice Test

Ms. Jean's Classroom Blog Chapter 12 Practice Test

Ap Stats Chapter 12 Practice Test. Each of these free online resources includes dozens of ap stats multiple choice practice questions, and several have free response questions as well. Chapter 1 ap statistics practice test.

Ms. Jean's Classroom Blog Chapter 12 Practice Test
Ms. Jean's Classroom Blog Chapter 12 Practice Test

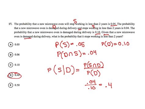
Web the ap statistics exam will test your understanding of the mathematical concepts covered in the course units, including your ability to use statistical methods and calculate the probability of an outcome. Chapter 1 ap statistics practice test. You’ll need to bring a graphing calculator with statistics capabilities to the exam. At quizlet, we’re giving you the tools you need to take on any subject without having to carry around solutions manuals or printing out pdfs! Chapter 12 flashcards | quizlet. Web ap statistics chapter 12 practice fr test: Check out our listing of all the best ap statistics practice exams. Each of these free online resources includes dozens of ap stats multiple choice practice questions, and several have free response questions as well. Web unit 9 sampling distributions. Below are scores on this intelligence test.

Starnes, josh tabor textbook solutions verified chapter 1: Unit 12 inference for categorical data: Show all work for the following on the answer sheet. Web ap stat practice test chapter 12 name: Check out our listing of all the best ap statistics practice exams. Web the ap statistics exam will test your understanding of the mathematical concepts covered in the course units, including your ability to use statistical methods and calculate the probability of an outcome. Web ap s t a tistics c hapter 12: Both are greater than 10. Review sample questions, scoring guidelines, and sample student responses. Get faster at matching terms. It may seem simple but there are a lot of qualities to each test.